人工智能技术与生物医学的碰撞
众所周知,人工智能技术日益广泛地应用于从生物医学数据中提取信息或者发现新模式,在癌症研究和临床护理方面展现出巨大潜力。其中深度学习最成功的应用是基于医学影像的癌症早期筛查和诊断。然而,目前深度学习领域由数据驱动的范式主导,导致模型对预测背后的原理缺乏清晰的理解,进而影响模型的可解释性。同时,在模型的临床转化过程中,忽视疾病生物学的先验知识也会导致模型缺乏可解释性。因此,将相关知识纳入深度学习模型的设计中以提高模型的可解释性是十分重要的。
近期,美国斯坦福大学的李瑞江教授和南方医科大学的李国新教授等研究员在Nature Communications上发表了题目为“Biology-guided deep learning predicts prognosis and cancer immunotherapy response”,文章提出了一种生物学指导的深度学习方法,可以根据医学影像预测肿瘤免疫和基质微环境的状态以及治疗效果。


背景介绍
肿瘤微环境(Tumor Microenvironment, TME)由多种免疫细胞和基质细胞组成,它们之间相互作用密切,对肿瘤的进展起着重要作用。TME的预后相关性及其对免疫治疗响应的影响已在多种癌症中得到了证实。因此,针对TME的评估可以提供有价值的预后和预测信息。文章中,作者提出了一个生物学指导的深度学习框架,训练了一个多任务模型,以同时预测放射图像的TME状态和治疗结果。
设计思路
作者训练一个基于诊断CT影像的多任务深度学习模型并进行了验证,利用一个多任务深度学习模型完成TME的分类和预后预测两个任务,模型的总损失函数由对TME的预测任务的损失函数和对预后预测的损失函数共同组成,以在训练中针对两个任务进行优化。将两个任务结合在一个模型进行预测的原因是TME和预后密切相关,作者假设这种方法可以提高模型泛化性并增强其可解释性(图1)。

图1用于预测TME类别和生存的深度学习模型设计

数据介绍
作者基于CT影像训练了一个多任务的深度卷积网络用于预测TME类别和生存(图2A),并且展示了四个典型案例的特征图、TME预测结果和生存预测结果(图2B)。从视觉上看,特征图似乎与肿瘤的异质性和侵袭边缘的影像学特征相关。

图2所提出的深度学习模型和代表性案例的可视化和预测
在TME分类任务上,所提出的深度学习模型也有着很好的分类性能,对4个TME类别的分类具有很高的AUC(Area Under Curve)水平(图3A)以及准确率(图3B)。
图3 深度学习模型判断TME类别的性能
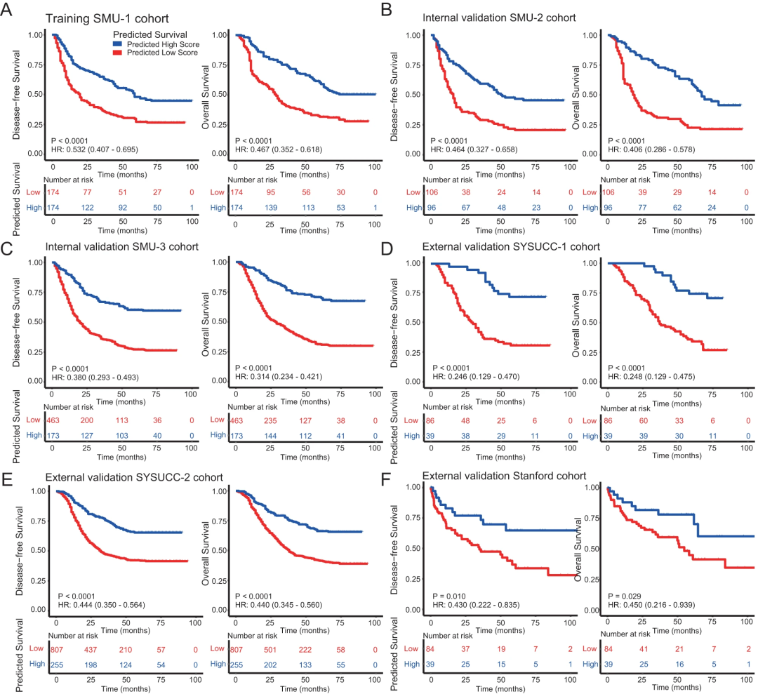
模型对生存预测任务同样有着良好的性能。利用模型预测的分数中位数,可以将患者分为两个风险组,这两个风险组的患者的预后具有着显著差异。其中包括训练队列SMU-1(n=348)(图4A),内部验证队列SMU-2(n=202)和SMU-3(n=636)(图4B-C),以及三个外部验证队列SYSUCC-1(n=125),SYSUCC-2(n=1063)和Stanford(n=123)(图4D-F)。
图4 基于模型预测的生存分数的Kaplan-Meier分析
相较于其他临床变量,该模型预测的生存分数(Deep Learning Survival Score,DLS)在预测预后上具有更好的判别能力(图5A),并且DLS是预测预后最为重要的临床变量(图5B)。具有相同临床风险因素的亚组患者中,DLS在所有阶段的亚组中对患者的无疾病生存期(Disease-Free Survival,DFS)进行了显著分层(图5C)。结合临床风险因素和DLS的整合模型可以将病人分成8个不同的风险组,代表着不同的预后(图5D)。这些结果都说明了该模型在预测预后上的价值。
图5 利用深度学习模型和临床风险因素进行预后预测
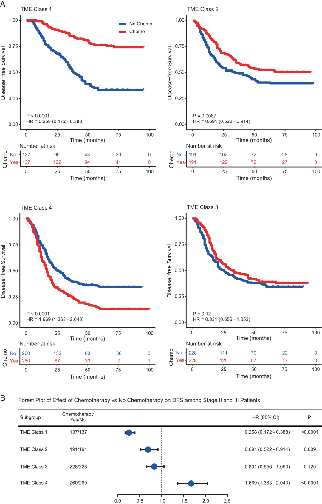
对于预测的TME类别,作者分别评估了每一类TME组的患者对化疗的获益。结果显示,TME第1、第2和第4类组的患者对化疗的获益有显著的区别。其中,对于TME 1类患者,化疗与显著的较好生存相关,TME 2类患者中化疗也与较好的预后关联。而在TME 4类患者中,化疗与更差的预后相关。图6A和图6B分别提供了四个TME类别的生存分析曲线和森林图。
图6 TME类别组与II期和III期胃癌患者辅助化疗获益的关系
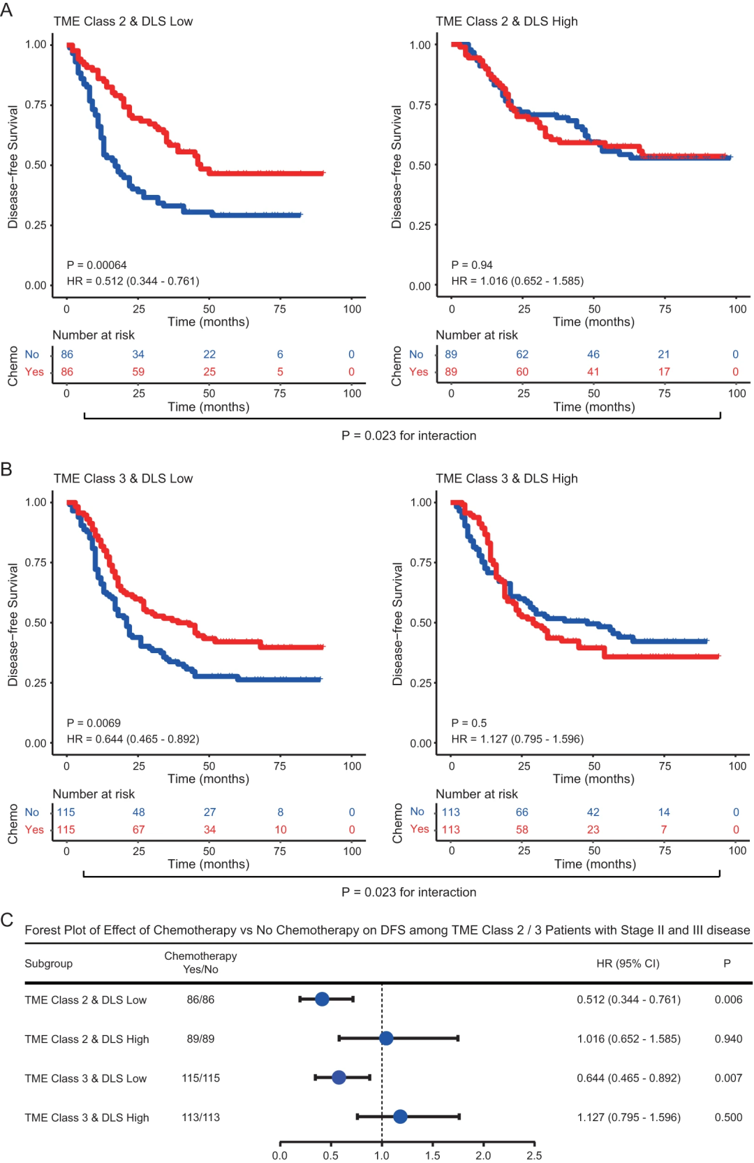
考虑到化疗对TME第2类和第3类的影响较小,作者纳入了DLS分数进一步评估其对化疗的获益情况。作者发现,对于DLS评分低的患者,化疗与TME 2类和3类患者生存时间的显著改善相关。而对于DLS评分高的患者,化疗对两类患者的DFS都没有显著影响。图7A和图7B分别提供了这两类TME患者的高DLS和低DLS的生存分析曲线和森林图。
图7深度学习模型与II期和III期胃癌患者辅助化疗获益的关系
最后,作者还研究了深度学习模型与anti-PD-1免疫治疗响应的关系。不同的TME类别对免疫治疗的响应有明显区别(图8A),并且Kaplan-Meier分析也表明不同TME类别的患者的无进展生存期(Progression-Free Survival,PFS)有显著区别(图8B)。PD-L1表达的综合阳性评分(Combined Positive Score,CPS)是一种被批准的免疫治疗响应标记物。然而,TME分类在预测免疫治疗响应上有着比CPS更好的ROC(Receiver Operating Characteristic Curve)(图8C-D)。在多元回归分析中,TME类别比CPS有着更强的响应(图8E)。此外,作者构建了一个综合TME类和CPS分数的决策树(图8F),以获得对免疫治疗响应的综合预测。
图8深度学习模型预测anti-PD-1免疫治疗的响应和效果

总结
在本文的工作中,作者将生物学知识引入基于图像的深度学习模型,开发了一种生物学指导的多任务深度学习方法。该模型可以同时进行肿瘤微环境的预测和生存预测,不仅具有很好的生存预测效果,并且可以拓展到化疗获益和免疫治疗响应的预测。结果表明,将生物学知识引入深度学习模型的设计不仅提高可以取得较好的预测效果,还可以提高模型的拓展性和可解释性。
原文链接
https://doi.org/10.1038/s41467-023-40890-xIF: 16.6 Q1